全國免費熱線
0731-82042415
商品煤含矸率和限下率的測定方法-長沙元德電子科技有限公司
2018-07-10 06:28:12
1 范圍
本標準規定了商品煤含矸率和限下率測定的含義、煤樣采取、測定步驟和結果表述。
本標準適用于生產、銷售和使用的各種原煤和塊煤。
2 引用標準
下列標準包括所包含的條文,通過在本標準中引用而構成本標準的條文。本標準出版時,所示版本均為有效。所有標準都會被修訂,使用本標準的各方應探討使用下列標準最新版本的可能性。
GB 475--1996
GB 477--87
3 定義
3.1 矸石
采掘煤炭過程中從頂底板和煤層混入煤中的巖石。
3.2 含矸率
煤中粒度大于50mm的矸石質量百分數。
3.3 限下率
篩上產品的粒度小于規定粒度下限部分的質量百分數。
4 方法提要
煤樣用孔徑為50mm或孔徑與產品粒級下限尺寸相同的篩子進行篩分,根據篩上物中矸石質量或篩下物質量,求出煤的含矸率或限下率。
5 工具
5.1 采樣工具:符合GB 474 有關規定。
5.2 篩子:符合GB 477有關規定。
5.3 秤:最大稱量為500,100,50,20,5和1kg,感量為最大稱量的1/100.
6 煤樣采取
6.1 商品煤含矸率和限下率煤樣按GB 475 在煤流中或運輸工具頂部煤中采取。采樣單元、子樣數、子樣質量及子樣分布等應符合該標準要求。
6.2 在運輸工具頂部煤中采樣時,粒度大于150mm的煤塊(包括矸石、黃鐵礦,下同),無論其含量是否超過5%,在采樣點遇到時都應采入。
6.3 在煤堆上不采取含矸率和限下率煤樣。
7 測定步驟
7.1 含矸率測定
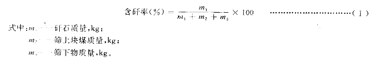
煤樣用孔徑為50mm的圓孔篩,按GB 477 有關規定進行篩分,揀出篩上物的全部矸石(包括黃鐵礦)。用5.3條所述的相應的秤稱量矸石、篩上塊煤和篩下物,稱準到1/1000.按式(1)計算含矸率:

7.2 限下率測定
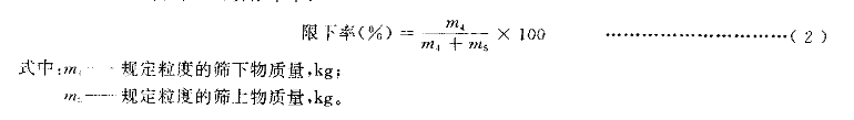
煤樣用孔徑與產品粒級下限相同的篩子過篩,用5.3條所述的相應的秤稱量全部篩上物和篩下物,稱準到1/1000,按式(2)計算限下率:

